北理工宇航學院教師郝繼光在《物理評論快報》上發表最新研究成果
發布日期:2019-02-18 供稿:宇航學院 郝繼光
編輯:鐘艷玲 審核:曲虹 閱讀次數:
2019年2月5日,北京理工大學宇航學院郝繼光講師、胡更開教授和加拿大西安大略大學Floryan教授合作在物理學頂級的學術期刊《Physical Review Letters》(IF = 8.839)上發表了題為《Droplet splashing on an inclined surface》的研究論文。郝繼光為該論文第一和通訊作者,宇航學院2018級碩士研究生魯杰、2015級本科生李遼南及2017級碩士研究生吳志鵠分別為第二、第三和第四作者,北京理工大學為論文的第一單位和唯一通訊單位,該工作得到了國家自然科學基金和“111”引智計劃的支持。
當液滴以高于臨界值的速度撞擊干燥固體表面時,將形成飛濺(破碎,形成二次小液滴)。該現象廣泛存在于自然界及一系列工農業、航空航天應用中,實例包括雨滴撞擊巖石土壤、氣溶膠形成、3D打印、噴涂、冷卻、噴墨打印、農藥噴灑、液體燃料燃燒、超冷大液滴撞擊飛機翼面成冰等。根據應用場景的不同,其作用可利可弊,因此對其調制存在廣泛的需求。然而,雖然歷經逾140年的研究,液滴飛濺的形成機理由于其高度瞬態的特性和復雜多變的影響因素至今尚未形成共識,仍吸引著大量學者從實驗、數值模擬和理論分析不同角度開展研究。

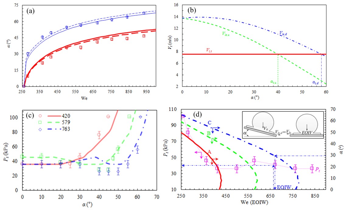
圖1 表面傾角和環境壓力對液滴飛濺的影響

圖2 液滴飛濺臨界參數實驗結果(符號)及理論模型計算結果(曲線)
作為吸引人同時也是難理解的流體力學現象,前人針對液滴飛濺的研究主要集中于垂直撞擊,而自然界和一系列工程應用中的大部分撞擊都是傾斜的,液滴撞擊傾斜表面引起非對稱飛濺并最終抑制飛濺的機理尚未被理解。論文通過在真空室中開展液滴傾斜撞擊實驗,研究了液滴在不同環境壓力下撞擊傾斜表面的飛濺現象(如圖1所示),獲得了一系列條件下抑制液滴飛濺所需的臨界條件(如圖2中的符號所示),通過對撞擊過程的機理分析,建立了一個理論模型,模型計算結果可以很好的吻合一系列條件下的實驗結果(如圖2中的曲線所示)。上述結果清楚地解釋了液滴在傾斜表面形成非對稱飛濺的機理,同時,實驗研究和理論分析均表明液滴撞擊后形成的液膜前端速度決定了液滴是否發生飛濺,這為液滴飛濺機理的進一步研究提供了新的思路和方向。
論文鏈接:https://journals.aps.org/prl/abstract/10.1103/PhysRevLett.122.054501
【通訊作者簡介】
郝繼光,2007年由北京理工大學宇航學院博士畢業留校從事教學科研工作,期間于2015年至2016年訪問加拿大英屬哥倫比亞大學。主要研究方向為高速多相流動和界面流動,近年集中在液滴動力學相關研究領域,研究成果發表在包括《Phys. Rev. Lett.》《Phys. Fluids》等國際頂級學術期刊上。
分享到:
