北理工在Cell旗下《Trends in Biotechnology》刊發前瞻性評述論文
發布日期:2021-12-13 供稿:生命學院 攝影:生命學院
編輯:肖雯 審核:周連景 閱讀次數:
近日,北京理工大學生命學院霍毅欣教授團隊在生物技術領域一區頂級期刊《Trends in Biotechnology》(IF="19.536)發表題為“Constructing" the transcription regulatory network to optimize resource allocation for robustness synthesis”的前瞻性綜述論文,從資源分配這一全新角度審視了微生物細胞工廠魯棒性優化的前沿進展,提出了構建“生產導向型”細胞工廠的概念。該論文通訊作者是生命學院霍毅欣教授,第一作者為馬曉焉副研究員,共同第一作者為博士研究生馬煉杰,生命學院分子醫學與生物診療工信部重點實驗室為第一單位。
將微生物改造為細胞工廠進行化學品的發酵生產是實現綠色制造,助力“碳中和”的有效手段。然而,微生物最大化生長的天然使命與高效生產的人工賦能存在根本矛盾,極大阻礙了產量與產率的最大化。論文提出菌株分配資源的“閥門”概念,從轉錄調控網絡的全局水平(Global)、局部水平(Local)、網絡邊緣(Edge)和底層節點(Bottom nodes)四個層級分別探討了改造菌株的中心轉錄調控機器(RNA聚合酶)及其下屬模塊的工程策略,論述了“改造轉錄調控網絡以重構資源分配模式從而構建生產導向型細胞工廠并全面釋放其生產潛能”這一前瞻性策略。
RNAP核心酶類似于一個多通閥,負責控制資源向增長、維護和生產三個模塊的分配。為了構建具有魯棒性的微生物細胞工廠,可以自上而下地對基因調控網絡進行改造,從最上層的RNAP核心酶到σ因子和全局轉錄因子,再到更下層的功能基因,以實現細胞資源的整體重分配和局部精準引導(圖1B)。綜述通過分析RNAP核心酶結構的最新研究進展(圖1C),針對核心酶與σ因子結合的兩個主要區域(β'亞基的coiled-coil結構域和β亞基的flap結構域)(圖1D),論述了三種調節全酶中的σ因子分布的不同策略,包括改變RNAP核心酶上與σ因子的相互作用的關鍵區域(圖1E)、改變RNAP核心酶與效應因子之間的相互作用(圖1F)、控制RNAP 核心酶的合成以實現資源分配在生長(A通路)和生產(B通路)之間的切換(圖1G),從而最終可以通過工程式改造RNAP核心酶(斜線填充)實現全局轉錄調控網絡的重編程,加強與生產相關模塊(深橙色)的表達(圖1A)。

圖1 通過工程式改造RNAP核心酶實現全局轉錄調控網絡的重編程
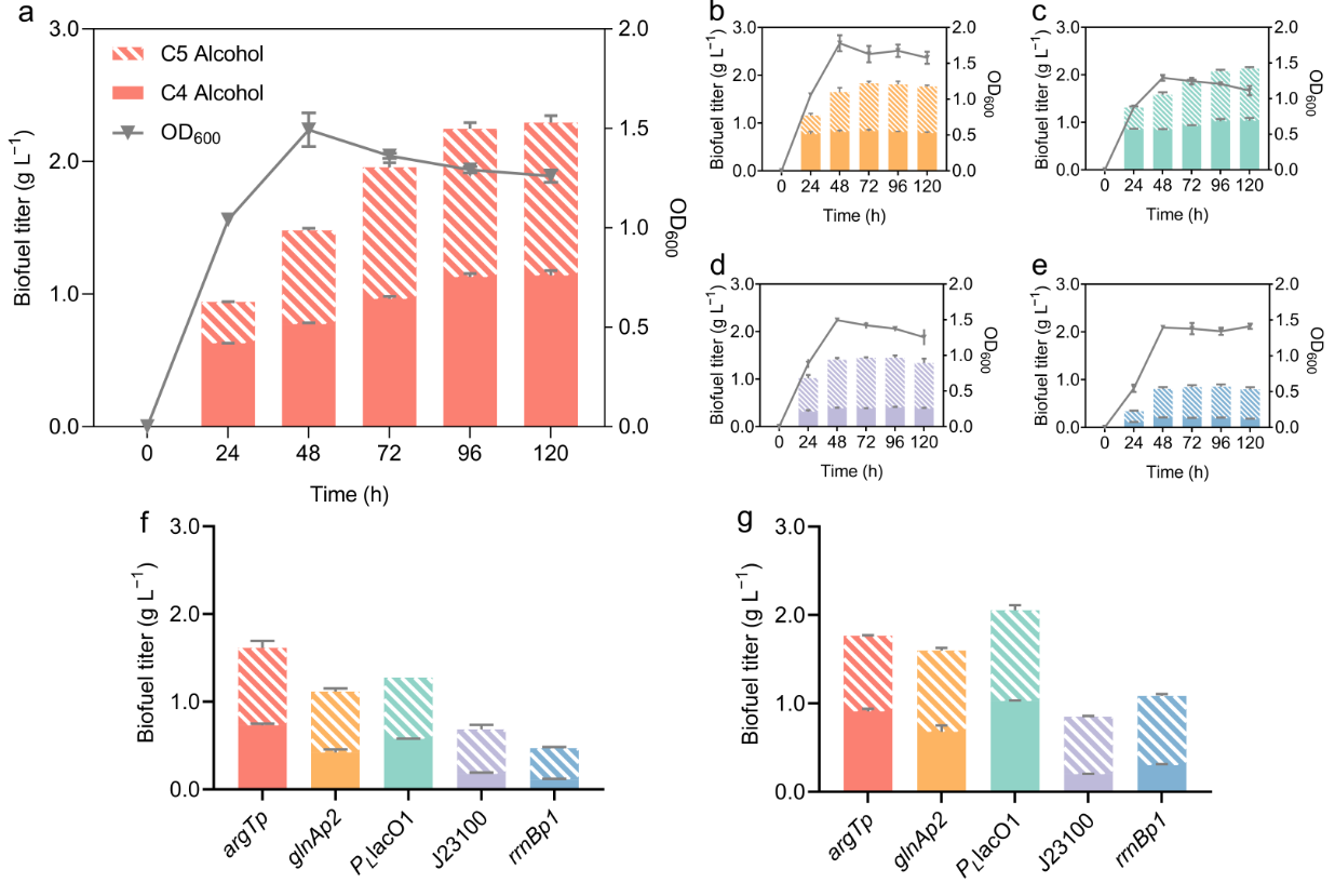
本文第一作者馬曉焉副研究員和博士研究生馬煉杰聚焦利用轉錄調控手段提升細胞工廠魯棒性的研究,取得了一系列的研究進展。在全局調控層面,建立了σ54型RNA聚合酶驅動的合成途徑持續表達系統,解決了σ70型全酶在生長穩定期和脅迫條件下的供應不足問題,實現了合成途徑的自響應、自激活和自強化,對低pH、高滲透壓等脅迫條件表現出較好的抵御能力,成功實現了跨越整個生長期和脅迫條件下的高效生物合成。以σ54依賴型啟動子驅動高級醇的生物合成,高級醇產能在進入菌體生長穩定期后持續加強,產量達到常用σ70依賴型啟動子的3倍( Biotechnol Biofuels . 2020, 13:29)。
在網絡邊緣層面,開發了抗脅迫模塊與生產模塊的“偶聯”策略。研究發現大腸桿菌的谷氨酸依賴型抗酸系統即可被σ70型RNA聚合酶轉錄,又可被穩定期和脅迫條件下大量出現的σ38型RNA聚合酶轉錄,具有全生長期穩定表達的特點。將該系統的轉錄調控機制偶聯高級醇生產途徑,菌株在穩定期的產量提升了25%,酸脅迫下的產量達到現有工程菌株的1.8倍。這一轉錄偶聯策略可有效抵御脅迫條件下胞內s因子的更替,驅動細胞工廠在全生長期的持續合成( Appl Microbiol Biot. 2018, 102:6)。
上述研究創制了生長期獨立型驅動元件、資源導流元件、表達強度調控元件、代謝資源閥門等在內的多種代謝流調配元件,將代謝流由生長繁殖重定向至產物合成,為當前工業菌株的魯棒性改良提供了新工具。

圖2 σN驅動子的合成途徑對微生物工廠產量的提升
原文鏈接:https://www.cell.com/trends/biotechnology/fulltext/S0167-7799(21)00263-8#%20
附作者簡介:
馬曉焉副研究員,博士畢業于中國科學院大學,長期從事高效微生物細胞工廠的構建、氨基酸及其高附加值衍生物的綠色合成等方面的研究。在Nat Commun、Engineering、Biotechnol Biofuels、Appl Microbiol Biot等頂級期刊發表論文20余篇,獲批發明專利多項。
霍毅欣教授,北京理工大學生命學院長聘教授,博士生導師。主要圍繞“大宗化學品的微生物精煉與制造”,以合成生物學手段取得了一系列面向產業化應用的科研成果。代表作發布于Science、Nat Biotechnol、Nat Commun等頂級期刊,近五年共發表高水平論文40余篇,授權近十項國際和國內專利。主持自然科學基金委、國家重點研發計劃課題等十余項國家、省部及地區級項目。現任中國生物工程學會理事、工業和信息化部“分子醫學與生物診療”重點實驗室副主任、北京理工大學生物技術專業責任教授等職。
分享到:
