-
近日,北京理工大學徐寶華教授團隊在構筑聚離子液體-銀(PIL-Ag)雜...
-
近期,北京理工大學張加濤教授團隊在等離激元光催化材料合成與界面調控方面...
-
近日,北京理工大學前沿交叉科學研究院黃元教授、集成電路學院徐曉龍準聘教...
-
近日,北京理工大學外國語學院助理教授徐翠博士在國際頂級翻譯學期刊Bab...
-
近日,北京理工大學外國語學院助理教授紀悅博士在事件結構的語言與認知方面...
-
北京理工大學智能機器人研究所王化平教授團隊在微納機器人與生物醫學工程領...
-
基于此,北京理工大學化學與化工學院長聘副教授楊文和北京理工大學醫工融合...
-
日前,管理與經濟學院顏志軍教授主持的國家自然科學基金委重點國際(地區)...
-
近期,北京理工大學王金亮教授團隊在構筑基于區域規整異三鹵化端基的高效率...
-
近日,北京理工大學物理學院量子技術研究中心趙清、張博研究團隊與中國科學...
-
2022年下半年,北理工科研團隊分別在鈣鈦礦太陽能電池研究、環二核苷酸...
-
近日,北京理工大學前沿交叉科學研究院黃佳琦教授課題組在金屬鋰電池安全改...
-
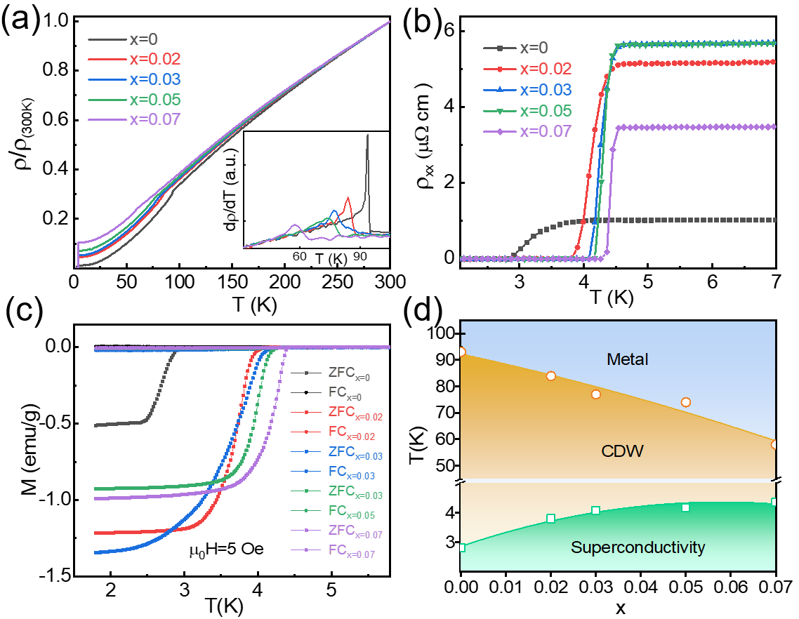
近日,北理工物理學院王秩偉特別研究員、姚裕貴教授團隊在Nb摻雜籠目結構...
-
近日,北京理工大學張帥龍教授在國際生物化學類頂級期刊《Chemical...
-
離散有序組裝體的構筑及性能研究是化學領域的研究熱點,通過拓撲結構的精準...
-
近日,北京理工大學物理學院姚裕貴教授、段俊熙副研究員團隊在轉角石墨烯體...
-
北京理工大學王蔚芝課題組近日與新加坡國立大學陳小元課題組合作,開發了基...
-
北京理工大學王蔚芝課題組近期開發了一種基于點擊化學的多肽功能化識別與調...
-
?10月14日,北京理工大學王博教授團隊在Science上發表文章“C...
-
近日,北京理工大學光電學院許廷發科研團隊在遠程病理成像領域取得新進展,...
-
?10月21日,北京理工大學化學與化工學院趙之平教授團隊在柔性MOF膜...
嬴澳门百家乐的公式|
博彩百家乐官网画谜网|
威尼斯人娱乐城 色情|
乌鲁木齐市|
免水百家乐官网的玩法技巧和规则
|
唐朝百家乐的玩法技巧和规则|
bet365 官网|
百家乐官网有试玩的吗|
大发888官方下载168|
网上百家乐官网赌|
瑞博国际娱乐|
南京百家乐在哪|
百家乐官网实战技术|
百家乐游戏规则玩法|
大发888非法吗|
百家乐视频游戏世界|
百家乐官网投注限额|
大发888官网游|
百家乐官网国际赌场娱乐网规则|
香港六合彩总公司|
单机百家乐棋牌|
百家乐官网风云论坛|
威尼斯人娱乐城骗子|
JJ百家乐官网的玩法技巧和规则|
澳门线上赌场|
百家乐庄多还是闲多|
欢乐谷百家乐官网的玩法技巧和规则
|
百家乐官网开户百家乐官网技巧
|
百家乐官网博彩安全吗|
大发888官网免费下载|
百家乐游戏高手|
娱乐城百家乐官网可以代理吗
|
线上百家乐信誉|
足球注册网站|
怎样赢百家乐的玩法技巧和规则|
太阳百家乐3d博彩通|
永利百家乐官网娱乐网|
泊头市|
免费百家乐分析工具|
百家乐翻天粤qvod|
猪猪网百家乐官网软件|